July 17, 2020
I. Introduction
In the vast majority of our posts on this site, we have tried to avoid making explicitly political points. Our views are informed by a deep belief in the scientific method and by trust – based on well over 40 years apiece of experience and expertise in experimental and theoretical scientific research – in our ability to judge when arguments about scientific issues are supported by data and sound logic, and when they are not. Science denial, as we have dealt with it across many issues, is not confined to one group of partisans or another. Many people with liberal political leanings are anti-vaxxers, or invested in astrology, wellness fads, homeopathy, crystal healing or other “new-agey” personal choices. However, the particular intentional and widespread decades-long promulgation of science denial within the American conservative movement has met its Waterloo in the catastrophic failure of U.S. governments and citizens to control the spread of the COVID-19 pandemic. This failure deserves to be called out and placed in context, updating our earlier post on Science Denial and the Coronavirus in the light of the ongoing exponential resurgence of infections within many U.S. states.
The science-denying failure of U.S. response is summarized in Figs. 1, 2 and 3. Figure 1 compares the positive COVID-19 daily case load in the U.S. to that of Canada, our nearest neighbor to the north. If one discounts that comparison because Canada’s total population is only about 11% of that in the U.S., look at Fig. 2, which compares the U.S. to the European Union, which has a total population some 35% larger than that in the U.S. In Fig. 2, the daily new cases have been averaged over rolling 3-day periods. While the U.S. and Europe reached similar peak case loads in the early months of the pandemic, the new U.S. confirmed case load is now larger than that in Europe by more than an order of magnitude. Figure 3 compares the cumulative U.S. COVID-19 cases to that in the European Union, clearly revealing the ongoing exponential resurgence in total cases that reflects the inability of the U.S. to follow the dictates of medical and epidemiological science that have informed the response in most of the rest of the industrialized world.



The exponential rise in cases in the U.S. has reached over 70,000 new cases per day by July 10, and is increasing with a slope essentially equal to that seen back in late March and early April. We have a President trying to bluff his way through a catastrophe by claiming that the data in these figures shows that the U.S. is “in a good place” with respect to the pandemic, because “I sort of didn’t listen to my experts.” We will deal later in this post with Donald Trump’s patently phony claims that we’re seeing this exponential rise only because we’re doing so much more COVID testing than other countries, that 99% of the infections are “harmless,” and that the virus will just disappear on its own. These claims are lame attempts to cover up an abject failure of the government to protect its citizens. And that failure stems from an indiscriminate distrust of so-called “liberal elites” that is the result of a half-century project by the American conservative movement to establish and control an alternative media and research ecosystem, one devoted to instill an orthodoxy of conservative ideology. At this point, that free-floating distrust has become the central connective tissue within the U.S. Republican Party base, and it is applied much more broadly and indiscriminately than the particular ideological positions that distrust was originally intended to promote.
In this post, we will review survey data revealing the evolution of conservative attitudes toward the scientific community, and a brief history of how we got to this point, with ample reference to other posts on this site that reflect much of that half-century of science denial history. We will remind readers that the conservative think tanks established to combat “liberal bias” have basically worked to replace authentic research with doubt and distrust, leaving their base disarmed to deal with dangerous natural reality, and opening the floodgates to a nutty array of conspiracy theories in the place of science. We will discuss how this defenselessness has seeded the impending COVID catastrophe, and compromised American preparedness for dealing with climate change. Donald Trump’s lack of coherent, or even minimally serious, leadership on these issues is a symptom of a much deeper and more widespread American problem.
II. Conservative Attitudes Toward the Scientific Community
In the fledgling years of the modern American conservative movement, trust in science and scientists was strong. In the middle of the 20th century, a clear majority of Americans viewed the continuing development of basic science and technology as essential engines of prosperity. But that trust, at least in scientists, has deteriorated steadily over the past half-century. Trends that reveal that evolution are provided by the General Social Survey (GSS) that has been carried out periodically, with more than 30,000 respondents, by the National Opinion Research Center associated with the University of Chicago. That half-century has been heavily influenced by a concerted, well-organized and well-funded conservative project to dominate the Republican Party and to remake America. The success of that project with respect to the Republican Party is illustrated in Fig. 4, which shows that the fraction of Republican or Republican-leaning voters who self-identify as conservative (as opposed to moderate or liberal) has grown from about 40% in the early 1970s to about 70% today.

Analyzing the GSS database, Gordon Gauchat has shown (Fig. 5) that over that same time period, the fraction of conservatives who express strong confidence in scientists has decreased from about 50% to less than 40%, while the level of trust in scientists has remained relatively steady among liberals and moderates. That decrease in trust is even much stronger among more educated conservatives, particularly with regard to the perceived role of scientific activity in the implementation of government regulations. That result is consistent with the trend we highlighted previously in our post on Bridging Partisan Divides on Scientific Issues.

In the years since 2006, the GSS surveys have sought to provide additional illumination of attitudes by asking respondents the following question: “People have frequently noted that scientific research has produced benefits and harmful results. Would you say that, on balance, the benefits of scientific research have outweighed the harmful results, or have the harmful results of scientific research been greater than its benefits? The potential answers to this question are ‘the benefits are greater’ (1), ‘the benefits are about equal’ (2), and ‘harm is greater’ (3).” For respondents who choose answer (1), there is a follow-up question: “Would you say that the balance has been strongly in favor of the benefits (2), or only slightly (1)?” Mann and Schleifer have analyzed those results and shown that the fraction of conservatives who strongly agree that scientific research benefits society (answering (1) to the first question and (2) to the second) has remained constant at about 50%, even while the confidence in scientists has decreased steadily among that cohort. Those authors conclude from the polling evidence that “a stable conservative identity should be associated with both distrust of scientists and belief in scientific research as a benefit to society, as both are indicators of familiarity with, and investment in, scientific cultural contests.” What they mean by the latter phrase is that conservatives have a strong interest in providing an “alternative science” community that will contest results that fail to support conservative ideological goals.
A more detailed breakdown of the partisan differences in attitudes toward scientists is provided in a July 2019 Pew Research Center survey of Americans’ Views of Scientific Experts. Figures 6 and 7 reveal that attitudes toward the accuracy of the scientific method and the bias of scientists grow progressively tribalized as the respondent’s knowledge of science increases. Among those with high science knowledge, Republicans are much more likely than their Democrat counterparts to judge the scientific method capable of producing any conclusion the researcher wants and scientists’ judgments to be more likely biased. Those attitudes provide the opening for knowledgeable conservatives to aim at applying what they think is the scientific method to produce results that will conform to their ideology.


Figures 8 and 9 reveal that conservative distrust of science is especially pronounced, unsurprisingly, on issues of environmental research and any government-funded research.


Figure 10 reveals that, among all Americans, there is even much less trust in results of industry-funded research than in government-funded research. Among the 58% of all respondents who say they trust results less when they hear research is funded by an industry group must be many conservatives, who may not realize that their attitudes toward science in general, and specifically toward government-funded science, have been molded over decades by institutions funded by industry groups.

Figure 11 shows results of a recent poll revealing partisan divides concerning the level of trust in various sources of information about the ongoing COVID-19 pandemic. The most striking results are the extreme partisan divisions concerning trust in the national news media and in Donald Trump as sources of pandemic information. It is also noteworthy that, while 75% of Republican respondents claim to trust medical scientists in general, when the question is focused on the most visible spokesperson for that scientific community — immunologist Dr. Anthony Fauci, who directs the National Institute of Allergy and Infectious Diseases – only about half of Republicans voice trust. Fauci’s public comments have been scientifically informed and consistent with those of the vast majority of medical scientists, as we have continued to learn more about the nature of this particular virus strain. But he has been a specific target of dismissive comments from many conservative media personalities and politicians, as his advice has often been in direct conflict with phony claims made by the President to downplay the threat. Fauci has sometimes been characterized in conservative media as a member of the alleged “deep state” lodged within the U.S. government.

The following statistic gleaned from the New York Times/Siena College poll in Fig. 11 provides one of the clear metrics of the disastrous U.S. response to the pandemic: the trust level in Donald Trump vs. Anthony Fauci for information about the virus is at +15% among Republicans, compared to -46% among Independents and -77% among Democrats. Conservatives will claim that Democrats’ distrust of Donald Trump is a more serious problem than their distrust of Fauci. But in Fauci’s case, the distrust is based on a dislike of the ideological implications of what he says; in Trump’s case, the distrust is based on his very well-documented lifelong pattern of sociopathic, self-serving lying. Continuing to trust Donald Trump for information six months into this pandemic will be a death sentence for many Americans. The emperor has no clues!
III. How Did We Get Here?
In the middle of the 20th century, leaders of the U.S. conservative movement made a series of conscious decisions that, in order to assemble a sufficiently sizable voting base needed to win elections, it was essential to launch a decades-long, multi-front assault on what they viewed as “liberal bias” pervading both the media and the academic research “establishment.” Much of the history of their persistent, and largely successful, efforts has been reviewed compellingly in the book Asymmetric Politics by Matt Grossman and David A. Hopkins.
While the efforts to provide influential alternative media for a conservative audience began already in the 1950’s, a particularly important milestone was achieved in 1987, when the Federal Communications Commission under President Reagan eliminated the Fairness Doctrine, which had required since 1949 that holders of broadcast licenses present controversial issues of public importance in a manner that was “honest, equitable and balanced.” With that barrier removed, Rush Limbaugh attained national syndication for his clearly unbalanced, conservative talk radio show in 1988. As Grossman and Hopkins recount, Limbaugh became “the nation’s leading radio figure by 1990 and the most popular and influential voice in conservative media throughout the 1990s.” Today, conservative talk radio programs outnumber liberal talk radio programs by a factor of about 8-to-1.
The next critical step on the media front came when Rupert Murdoch and Roger Ailes launched Fox News Sunday on the Fox TV network in 1996. This soon grew into a separate 24-hour Fox News Channel, whose audience became disproportionately Republican starting in about 2000. Between 2000 and 2010 the fraction of Republican voters who reported being regular Fox News viewers grew from 49% to 69%. Conservative talk radio and Fox News are now reinforced in their efforts by an array of conservative online sites and print media, which combine to form an alternative media ecosystem aimed at instilling orthodoxy among consumers who seldom seek any other information sources. As detailed by Kathleen Jamieson and Joseph Capella, the aim of this ecosystem is to enclose their sympathetic audience, including Republican office-holders, in an information “cocoon”:
“Conservative media create a self-protective enclave hospitable to conservative beliefs. This safe haven reinforces the views of these outlets’ like-minded audience members, helps maintain ideological coherence, protects them from counterpersuasion, reinforces conservative values and dispositions, holds Republican candidates and leaders accountable to conservative ideals, tightens their audience’s ties to the Republican Party, and distances listeners, readers and viewers from ‘liberals,’ in general, and Democrats, in particular.”
A central part of the message delivered daily by conservative media is that liberals, big government, the mainstream media, and “liberal elites” in academia are never to be trusted. But it was understood early on in the conservative movement that simply railing against “liberal elites” in academia was not sufficient to drown out their message. A significant turning point came in 1971, when Lewis Powell Jr. – just before he was to be nominated by Richard Nixon to his subsequent Supreme Court seat – wrote a memo to the U.S. Chamber of Commerce. According to Grossman and Hopkins, Powell argued in that memo “that capitalism and the American system were under assault and that ‘the campus is the single most dynamic source’ of these attacks. He singled out social scientists and their students who proceeded to careers in the news media, academia or government. Powell’s recommendations that conservatives develop their own scholarly networks and institutions to balance faculties, demand equal time in campus speaking and media debates, and evaluate textbooks and television experts were later credited with inspiring business support for conservative think tanks.”
Shortly after Powell’s admonitions, Paul Weyrich and Edwin Feulner, two ex-aides to Republican Congressmen and among the leaders of the New Right, founded the Heritage Foundation in 1973. Its goal, according to Weyrich, was to supply Congress with conservative policy expertise that could effectively combat research from the liberal academic establishment. Economist Murray Wiedenbaum, in his book on Washington think tanks, has characterized the Heritage Foundation as “a prototypical advocacy think tank” with “no academic pretensions,” that sees itself engaged in “a war of ideas” rather than the production of scholarship. It was soon to be joined by other conservative or libertarian think tanks: the Free Congress Foundation, the Cato Institute, the transformed American Enterprise Institute, the Manhattan Institute for Policy Research, the National Center for Public Policy Research, etc.
The original focus of these conservative think tanks was on issues in the social sciences, economics and law that influenced public policy. They were joined in an alternative conservative scholarly universe by a few academic centers, such as the Hoover Institution at Stanford University and the Institute for Humane Studies at George Mason University. Their efforts have been funded by a number of conservative foundations: Bradley, Olin, Smith Richardson, Scaife, Koch, and Mercer, to name a few. Their messages have been amplified by a number of Tea Party-correlated, corporate-funded advocacy groups, such as the Center for Individual Freedom, FreedomWorks, and Americans for Prosperity, and by a set of religious universities, including Liberty University, Bob Jones University and Hillsdale College. Their policy ideas have not only been transmitted to Congress in reports and “expert” testimony, but translated directly into template bills drafted for Republican state legislatures across the nation through the American Legislative Exchange Council, also established in part by Paul Weyrich in 1973. By now, there are also a number of conservative think tanks dealing with more local issues within a variety of individual states.
Two important segments of the conservative coalition that formed during the latter decades of the 20th century saw great value in expanding the early scope of conservative alternative research think tanks to counterbalance what they saw as liberal orthodoxy in the natural sciences. Some specific industries had established industry research groups earlier in the 20th century – such as the Sugar Research Foundation and the Tobacco Industry Research Committee – to provide alternative research that would counteract science and public perceptions pointing to harmful health impacts of their products. But conservative think tanks that approached a broader scope of regulatory science, which would be less easily tied in the public’s mind to one specific industry, were seen as more effective.
These industry initiatives led to the establishment in 1984 of the George C. Marshall Institute, the Competitive Enterprise Institute, and the Heartland Institute. These, and a number of others that followed, were intended to provide arguments to undermine government regulation of toxic products and environmental pollution. They soon became dominated by efforts, funded by fossil fuel industries in addition to conservative foundations, to provide Congress and the public with arguments to combat the growing research basis for human-caused global warming and consequent climate change impacts. Prominent additions in the 1990s to the “alternative science” network included: The Advancement of Sound Science Coalition and the Guest Choice Network (later morphed into the Center for Organizational Research and Education), both initially funded by the tobacco industry; and the Center for Regulatory Effectiveness, working to pass laws allowing industry to combat regulatory initiatives more effectively. The Marshall Institute morphed in 2015 into Will Happer’s CO2 Coalition.
The second influential segment of the conservative movement that wanted think tanks to combat “liberal elite” natural sciences are the evangelical Christians. They have provided not only some of the intellectual leaders of the movement, but also its most reliable voting base. Exit polling during the 2016 Presidential election has revealed that fully 46% of Trump voters (and only 9% of Hilary Clinton voters) self-identified as white evangelical Christians.
The insistence by many evangelical leaders on a literal interpretation of the Bible has been especially threatened by two lines of scientific research that began to emerge during the latter decades of the 20th century: laboratory and genomic research supporting the theory of evolution by random mutation and natural selection; and astrophysical and cosmological research supporting the Big Bang origin of our universe and pinning down the universe’s age as close to 14 billion years, as opposed to the biblical interpretation of about 6000 years. The desire to promulgate alternative “scientific” explanations consistent with the Bible’s supernatural origins of the universe, the Earth, and humans has led to the establishment of a number of Christian think tanks, including the Creation Research Society, the Institute for Creation Research, the Foundation for Thought and Ethics, and the Discovery Institute.
In a 1988 speech at the American Enterprise Institute, Ronald Reagan promoted the essential role of conservative think tanks in what he called “a revolution in ideas”:
“Our ideas were greeted with varying degrees of scorn and hostility by what we used to call the establishment institutions. The universities, once the only real home for American scholarship, had been particularly unresponsive. And so, it became necessary to create our own research institutions as places where scholars could congregate and important studies could be produced that did not kowtow to the conventional wisdom.”
The think tanks are intended to work in concert with the conservative media cocoon. In the specific case of the “alternative science” think tanks, Mann and Schleifer describe this concerted effort as providing a “conservative scientific repertoire, an accessible cultural schema that is able to reconcile various and sometimes conflicting conservative values including traditionalism, authoritarianism, anti-intellectualism, and religious fundamentalism with scientific norms, language, and action that enables a coherent presentation of scientific arguments across the political spectrum… leaders in conservative political media are well placed to criticize and cast doubt on the scientific community, while those writing books and running think tanks are better suited to provide the scientific scaffolding for arguments against things like anthropogenic climate change and evolution by natural selection…”
The efforts to construct that scaffolding are nothing, if not industrious. For example, one study found that of “141 English-language environmentally sceptical books published between 1972 and 2005…over 92 per cent of these books, most published in the US since 1992, are linked to conservative think tanks.” But volume does not imply robustness. As we have described in detail in a number of other posts on this blog site, that scaffolding is pseudoscience that cannot bear any weight or serious scientific scrutiny. The conservative think tanks do not do original research. They make no sustained effort to provide a coherent, testable alternative interpretation of nature, consistent with observations. The goal of their efforts and their books and reports is merely to cast doubt on mainstream science, and promote distrust of the “liberal elites” that they claim produce it.
We have explained in detail that the attempts of Christian think tanks to produce scientific “theories” consistent with a biblical young Earth are incoherent and completely inconsistent with experiments and observations of the Earth and the universe. Allegedly falsifiable predictions they have promoted of alternative molecular biology, supporting the counter-evolutionary concepts of “irreducible complexity” and Intelligent Design, have been tested and found false, without leading the conservative proponents to accept the evidence. The narratives provided by conservative think tanks to deny the science of human-caused climate change may convince those immersed in the conservative cocoon, but they are all easily refuted by real research results. The anti-regulatory efforts undertaken by conservative think tanks and the wide toxic product defense industry try to poke holes in serious epidemiologic studies, but eschew undertaking studies of their own and often cover up for decades industry internal research that reveals the real health hazards.
Conservative “alternative science” is driven by the ideological ends, rather than by the scientific method. Grossman and Hopkins put it this way: “Liberals often assume that if conservatives believed the scientific evidence for problems like global warming, they would accept the necessity of their proposed regulatory solutions. The evidence suggests otherwise: conservatives oppose the solutions on ideological grounds and therefore work backward to reject the evidence supposedly justifying them.” This attitude is particularly problematic in a pandemic, where the rapid coordination of nationwide efforts to stem the spread of the disease requires some level of government control, which conservatives oppose and for which they therefore reject the evidence. Their approach – having a predetermined conclusion and rejecting the evidence that doesn’t support that conclusion – is what we have defined throughout all our posts on this site as science denial.
Denial and distrust of liberal elites may excite their political base, but it also leaves them defenseless when confronted with the need to anticipate or handle a real natural catastrophe, either one that comes on suddenly, like the COVID-19 pandemic, or one that develops gradually but inexorably, like climate change. Neither nature nor the virus care about the ideological preferences of their victims.
Some observers within the conservative media and think tank ecosystem appear to understand the dangers. Julian Sanchez of the Cato Institute has written the following: “One of the more striking features of the contemporary conservative movement is the extent to which it has been moving toward epistemic closure. Reality is defined by a multimedia array of interconnected and cross-promoting conservative blogs, radio programs, magazines and of course, Fox News…whatever conflicts with that reality can be dismissed out of hand because it comes from the liberal media, and is therefore ipso facto not to be trusted.”
The approach toward epistemic closure leads to an intellectual laziness that we are now seeing play out in conservative responses to the pandemic. All that seems to matter is distrusting scientific evidence of the seriousness of the disease and recommendations for mitigating its impacts, if those are provided by the “liberal elites.” In place of science, many conservatives – unfortunately including the President – are content to substitute nonsensical, conspiratorial or paranoid fantasies and claims, many of which we have outlined in our posts on Science Denial and the Coronavirus and on Dr. Judy Mikovits. The Trump administration is now adopting the dubious message that citizens will have to learn to live with wildfire spread of the pandemic, as the price of American “freedom.”
IV. Conservative Distrust and the COVID-19 Resurgence
When the pandemic first began to spread in the U.S., there were still many details not yet understood about the nature of the virus and its effects. But a number of basic features were clear from the experience already seen in other countries. This was a new variation on the coronavirus theme, one for which there was no pre-existing human immunity, nor any vaccine or anti-viral treatment. The virus had a very high transmissivity rate: the number of other people who caught the virus from each infected individual (the so-called R0 value) was somewhere between 2 and 3. Furthermore, transmission appeared to occur from people infected with the virus whether or not they exhibited symptoms. With that level of transmissivity, the number of infections would grow exponentially via community spread, in the absence of actions taken to mitigate that spread. The lethality rate of the disease was high, roughly an order of magnitude larger than for normal seasonal flu, especially among the elderly and people with other health conditions. The RNA of the virus had been mapped and tests to detect its presence had been developed in other countries.
These known features, together with experience from historic pandemics and insights from earlier detailed modeling of the spread of pandemics, already suggested the most effective protocols for managing spread of the disease. One approach is to keep potentially infected individuals out of the country, as Trump tried to do in February with a ban on entry of travelers coming from China, the country in which the virus had seemed to first infect humans. However, the ban was “leaky” and, in any case, by the time it was instituted the virus was already resident in the U.S. and guaranteed to spread rapidly, as it was beginning to do in Europe.
If one could catch the spread at a sufficiently early stage, it could be managed by widespread testing, to locate both symptomatic and asymptomatic infected individuals, tracing of their contacts, and quarantining of all infected and contacted people for a minimum of two weeks. This option was eliminated in the U.S. by the disastrous early failure of the Centers of Disease Control (CDC) to develop their own usable test or to adopt one offered by the World Health Organization. In addition, President Trump appeared to not be interested in pushing the rapid development and widespread use of tests, because increasing case numbers would “make him look bad.” That desire to suppress testing goes on to this day, as we’ll see below.
If one doesn’t catch the spread of the disease sufficiently early, mitigation protocols get more severe. The option pushed by some conservatives, and partially motivating Sweden’s adopted approach, to let the virus “run its course,” so that the country could develop herd immunity, was non-viable for several reasons. The transmissivity rate of COVID-19, if unchecked, would lead to such rapid growth in infections that hospital capacities would soon be exceeded at many locations throughout the country. The lethality rate would have guaranteed many millions of fatalities from the disease (as well as from other conditions for which hospital beds would no longer be available) accumulating along a path to herd immunity. Furthermore, too little was (and still remains) known about the body’s ability to establish long-term immunity from antibodies built up in fighting off the disease, so that herd immunity might be literally impossible to attain.
These considerations led the medical research community to focus on “flattening the curve,” that is, reducing the rate of community spread by minimizing physical contact among community members, in order to avoid overwhelming the nation’s hospital resources. Minimizing contact meant cancelling in-person classes in schools and universities, eliminating concerts, cinema and church attendance, as well as in-person dining and drinking at restaurants and bars, limiting gatherings to a few people, imposing shelter-at-home requirements except for essential services, and at least strongly suggesting that people maintain a minimum separation of six feet from others (social distancing) at all times. It was not clear at first how much the wearing of facial masks would help additionally to minimize the transmission of virus-containing aerosols (we’ll discuss that further below), so suggestions or mandates for mask-wearing in public came later.
These “lockdown” policies would have been most effectively adopted nationwide, and coupled with strong measures from the federal government to provide economic support to tide families, businesses and employees over until the lockdown policies could be sensibly and gradually relaxed. Such national lockdowns were adopted in some other countries, but there was no interest in doing so within the Trump administration.
Individual states and localities were left to their own devices in deciding how much and how long of lockdown protocols they should impose, and the results varied widely. There were still important roles the federal government should have been playing. The effectiveness of lockdown policies relies on persistent and consistent messaging from the government, the medical establishment, and media to impress on citizens that the disease threat is severe and their cooperation is essential to minimize that threat not only to themselves, but to other community members they might unknowingly infect (given asymptomatic transmission).
Conservative media and the Trump administration completely undermined such consistent messaging. As we have detailed in a previous post, until mid-March the dominant messaging coming from those media and from Trump himself was that the severity of what they took to calling “the common cold” or “just like the flu” was being overblown by “liberal elites” and mainstream media, presumably as part of a “hoax” to make Trump look bad before the 2020 presidential election. The virus would soon “just disappear,” Trump tried to reassure his base (nobody else trusted him). This early conservative misinformation has colored the perceptions of many Americans, contributing to the current wildfire resurgence of the disease.
As model projections began to suggest that the country might see more than a hundred thousand COVID-19 deaths, Trump was convinced to abruptly change his public statements, with much of the conservative media following his lead, but only for about one month. During even that month, however, the conservative media described those model projections as just as untrustworthy as climate change model projections – after all, they were being provided by “liberal” academic scientists. I have heard much less complaint about the models recently, as developments have validated their projections.
There was another important role for the federal government to play. Flattening the curve is intended to buy time, to spread a given total number of infections with severe symptoms over a longer period of time. The time gained should be used to make sure that the hospital capacity, the hospital workers, their personal protective equipment, medical equipment such as ventilators for severely affected patients, and testing kits would all be available in sufficient supply throughout the country by the time infections reached their peak level. Here, again, the performance of the federal government was slipshod, leaving most states to compete against one another and against the federal government to attain the necessary supplies.
Conservative media reassured their audience that the horror stories they might be hearing from hospitals in strongly affected areas were also terribly overblown. Since the areas affected most strongly in the early months of the pandemic tended to be in coastal states that had elected Democratic governors, the conservative base was led to believe they would remain relatively unaffected by this “flu-like” disease. Many Republican governors reinforced that false perception, and delayed a long time before imposing any lockdown protocols.
The time gained by flattening the curve should also be used to establish a well thought-out plan for the gradual reopening of the economy, once states had clearly managed the outbreak and greatly reduced the virus incidence far below the peak levels. The White House Task Force on the pandemic, together with the CDC, did publish a reasonable phased reopening plan. According to that plan, the first phase could be launched when a state had seen decreases in the infection rate or in the fraction of COVID-19 tests with positive results over two succeeding weeks, combined with a robust testing program (including antibody testing) for at-risk healthcare workers. Success of the plan absolutely relied on getting the infection rate low enough, and testing and contact tracing capacity high enough, within a state to effectively manage any small outbreaks that might arise after the reopening began.
However, in a continuation of the disastrous mixed messaging from the administration, Trump himself grew tired of waiting. By early April he was publicly supporting both early reopening of states without regard to fulfilling the White House plan’s conditions, and conservative-funded protest movements objecting to restrictions on citizen freedoms in states that continued their lockdowns. He was particularly supportive of a protest movement in Michigan that was “highlighted” by Trump supporters bearing assault weapons inside the Michigan statehouse.
The President apparently judged that his own re-election chances would be boosted by an early economic recovery that could only come after reopenings. He thereby misjudged the science of the pandemic, the nature of the country’s economic problems, and presidential politics. Early reopenings, as we will see, predictably triggered the ongoing virulent resurgence of the pandemic in the U.S. The U.S. economy will only fully recover once an overwhelming majority of citizens feel safe in rejoining it, so managing the health crisis must come first, as a majority of Americans agree. And national crises can also be viewed by incumbent Presidents as an opportunity to exercise strong, coherent, empathetic leadership that mitigates, rather than exacerbates, the crisis. That sort of leadership is generally rewarded with re-election, but Trump has not had the capability to provide it. His misjudgment continues to this day, as he attempts now to “mandate” the resumption of in-class school attendance across the country, despite concerns about students contributing to an accelerated resurgence of virus spread.
As U.S. COVID-19 deaths have risen to 140,000 so far, Trump has periodically revised drastically upward his public estimate of the cumulative death toll that will provide testament to the visionary leadership he provided by his early blocking of most visitors from China. He seems to have had little notion of what other actions he might have taken. He has tried to shift blame for American deaths to China or the World Health Organization, announcing his intention to withdraw the U.S. from the latter organization. He has pushed the adoption of “miracle cures” that have no verified impact on COVID-19, and that pose different health hazards in their own right. He has claimed at various points during the pandemic that he has “absolute authority” over state decisions, but bears “no responsibility” for the consequences.
Vice President Mike Pence, the chair of the White House Coronavirus Task Force, echoed Trump’s call for early state reopenings by assuring the country the virus would be gone before the end of May. This claim turns out to have been based on breathtakingly unscientific “model projections” one of the White House economic advisers provided for the time trend of COVID-19 cases. That expectation arose, without any input from knowledgeable scientists, from an unjustified cubic polynomial “trend line” fitted (very poorly) in a spreadsheet program to the earlier time trend. Trump and Pence loved the unrealistic projected turnover of that trend line because it supported their political ambitions, and they distrusted the liberal elite academicians who provided more realistic projections completely at odds with the White House version. The numerous state reopenings that were started in the wake of those assurances led to many massive public gatherings, with no social distancing and very limited mask-wearing, over the Memorial Day holiday. And those gatherings have contributed heavily to the ongoing pandemic resurgence.
Trump has claimed for nearly two months now that the crisis is over, except for a few insignificant “embers,” and has been largely supported in this obvious fiction by many in the conservative media, by a number of Republican governors, and by a dwindling fraction of his political base, many of whom are getting seriously worried. But the rest of the base remains with him as long as he continues to “own the libs.” They rely on a dizzying array of conspiracy theories and phony concerns about freedom to dismiss the need to change their behavior. Indeed, enough of them are still willing to crowd together without social distancing or masks at his political rallies to fuel further outbreaks of COVID-19, as is now occurring in Tulsa, Oklahoma, two weeks after he held an indoor rally there on June 20. The latest Oklahoman to contract the virus from Trump’s rally is the Governor, Kevin Stitt.
So what arguments does Trump use now to account for the dramatic rise in cases in the U.S. compared to other countries, seen in Figs. 1-3? He claims that we’re only seeing a rise in cases because we’re doing much more testing than any other country, and that 99% of the cases are harmless anyway. For example, on July 9, he tweeted the following:
“For the 1/100th [sic] time, the reason we show so many Cases, compared to other countries that haven’t done nearly as well as we have, is that our TESTING is much bigger and better. We have tested 40,000,000 people. If we did 20,000,000 instead, Cases would be half, etc. NOT REPORTED!”
NOT REPORTED because not relevant! If we did no testing, we’d still be filling up our hospitals with people suffering COVID-19 symptoms. There is no chance to get past this pandemic by sticking your head in the sand.
Trump’s rationalizations are easily refuted. The number of COVID tests carried out daily in the U.S. has increased essentially linearly over the months of the pandemic, as shown in Fig. 12, while the positive results are now growing exponentially, as are the hospitalization rates in a number of states (see Fig. 13). For example, from June 9 to July 10 the U.S. testing rate increased by about 40%, while the positive test results grew by 250%. This comparison demonstrates that the fraction of new tests that show positive results for COVID-19 infection has been rising rapidly in the U.S. In Arizona, for example, the positive fraction has risen steadily from 12% to 25% over the past four weeks. In Florida, the fraction was reported to be 33% on July 10. In such states, one is approaching certainty that someone will be shedding virus in any gathering of more than ten people. (That factoid has not yet stopped Donald Trump from wanting to have a massive Republican Convention with thousands of attendees in Jacksonville, Florida in August.) Averaged over the entire U.S. the positive testing fraction is currently over 8%. The World Health Organization recommends reopening only once the positivity rate is held consistently below 5%, and many medical researchers suggest that a more reliable limit is 3%.


If 99% of the new cases were harmless, as Trump claims and conservative media parrot, we would not have many states now extremely concerned about exceeding their hospital capacity. Figure 13 illustrates that New York and Michigan suffered severe hospitalization rates in April and early May, but have largely controlled the pandemic for now by continuing strong lockdown mandates long after they were urged to reopen by Trump, conservative media and armed protesters. In contrast, states like Texas and Arizona, which had short and limited lockdowns and reopened too early, are now the epicenters of the resurgence. So is Florida, which is not included in Fig. 13 only because its governor, Ron DeSantis, has withheld state hospitalization data from the public prior to July 10. States such as these, seeing exponential increases in COVID hospitalization rates with their Intensive Care Units already at, or above, maximum capacity, will soon be the sites of serious increases in COVID deaths, because some severely impacted inhabitants will be unable to get suitable treatment. As of July 10, roughly three quarters of all U.S. states are seeing significant increases in their daily confirmed COVID-19 cases.
And what of Trump’s claim that his reputation is suffering needlessly because the U.S. has the best testing program in the world? As shown in Fig. 12, Denmark has consistently tested a much larger fraction of its population than the U.S., all the while reducing its positive testing fraction to near 0.1%. The per capita testing rate needed to manage the pandemic’s spread has to scale up with the fraction of positive tests, because the larger that fraction, the more cases are being missed by current testing. So the U.S. should be doing far more testing than Denmark. By this relevant metric (tests conducted per new confirmed case), the map in Fig. 14 shows that the U.S. is nowhere near the best in the world. With the exception of Sweden, nearly all of western Europe is doing more effective testing than the U.S., by an order of magnitude or more. This more effective testing permits better control of small outbreaks, and helps to explain the striking contrast back in Fig. 2 between U.S. and European infection rates.

The White House and conservative media have also been crowing lately that, despite the rapid ongoing increase in COVID cases and hospitalizations, the death rate has been going down. This is fool’s gold, because the death rate lags behind the hospitalization rate by 2—3 weeks. Figure 15 shows what we know so far about the death rate in the U.S., defined as the ratio between cumulative deaths and cumulative confirmed cases. This began to rise sharply in the first half of April, while the case count (see Fig. 2) began to rise sharply during the second half of March. This fatality rate has decreased from a peak value of 6% to a still significant current value of 4%. The decrease likely has several contributing factors: with more testing available, we’re getting a better handle on the magnitude of the denominator (confirmed cases) and allowing infected people to treat the disease at an earlier stage; treatments of hospitalized patients have improved; and the infected population has been skewing younger since many states reopened, and younger people have a better survival rate.

But an increased rate of daily COVID deaths will surely follow the ongoing exponential rise in confirmed cases. The weekday average of COVID-19 daily deaths between July 6-10 is about 950, while that between June 15-19 was about 720. (The peak daily death rate reached back in April, at the height of the New York City crisis, was 2600.) We are beginning to see the rise, and it will get far worse in the coming weeks, especially as hospital capacity is exhausted in the hardest-hit states. It looks as of now that we are likely to see over 200,000 cumulative COVID deaths by the November 3 Election Day.
Figure 15 also compares the fatality rate in the U.S. to the world average and to the rate in various other countries. In contrast to Donald Trump’s recent claims that the U.S. has one of the lowest mortality rates in the world, the data show that the U.S. is very close to the world average, with many countries doing better and many doing worse. It is noteworthy that Sweden, which has avoided government-mandated lockdowns from the start of the pandemic, has a considerably higher mortality rate than the world average. So does Italy, where a majority of COVID-19 deaths occurred in March and April, when the country’s hospitals were truly overwhelmed by the patient volume. Both Sweden and Italy also have populations whose median age skews older than that in the U.S., by 3 and 8 years, respectively. Australia, New Zealand, South Korea and Turkey are examples of the many countries with consistently lower fatality rates than the U.S. Among those four, only Turkey has a significantly younger population than the U.S.
V. What Now?
What actions need to be taken now to limit the U.S. death count? Several of the hardest-hit states have now paused their phased reopening schedules. Some have ordered the closing of bars, limitations on customer load for inside dining at restaurants, and limits on the size of public gatherings. Many are contemplating, or have imposed, requirements for inhabitants to wear masks when coming into contact with others outside the home. The latter, rather minimal, admonition has led to yet a new partisan conflict in the U.S., with many conservatives railing against the audacity of governments to impose such a draconian loss of individual freedom of choice. They have promoted debunked conspiracy theories that trying to breathe through masks can cause serious disease and death. These folks must feel they are fighting the good fight to prevent starting down a slippery slope, leading to such unacceptable limitations on individual liberty as government requirements to have a driver’s license, wear seat belts, and limit alcohol consumption before driving a motor vehicle – mandates that would be imposed with the phony justification of improving safety for all on the roads. Last I checked, the U.S. Bill of Rights does not guarantee the right to infect others; masks and social distancing absolutely help to limit the transmission of virus-loaded aerosols from person to person.
Donald Trump himself has pretty much always refused to wear a protective mask in public, and also refuses to require this or social distancing of attendees at his rallies. In providing cover for Trump and supporting his push to resume in-class schooling, his Fox News ally Tucker Carlson informed his large audience on his July 7 evening show that “Many schools that do plan to reopen will do so under a series of restrictions that have no basis of any kind in science. It’s kind of a bizarre health theater. Students will be kept six feet apart, everyone will have to wear a mask, class sizes will be limited…” This is a prime example of the intellectual laziness, or just plain lying, that characterizes the epistemic closure of the conservative ecosystem. One need ask no greater expert on the subject than Tucker Carlson himself, who said on his March 30 show: “Of course, masks work. Everyone knows that. Dozens of research papers have proved it. In South Korea, Japan, Hong Kong, the rest of Asia — where coronavirus has been kept under control — masks were key.” The debating advantage of “alternative” science that allows one to reject whatever evidence one wants is that it can change to suit one’s mood or momentary political goal.
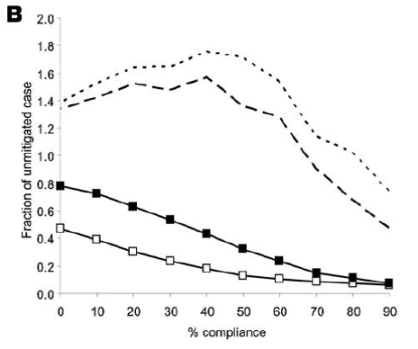
The effectiveness of social distancing has been established in the present and past pandemics by comparing the impact in localities or countries that imposed it to those that didn’t. For example, Fig. 16 shows the stark difference in death rates from the 1918 influenza pandemic between Philadelphia vs. St. Louis, resulting from a two-week difference in the delay until imposition of social distancing measures. The importance of the rapid imposition of social distancing is also seen in model simulations of infectious disease spread networks. Figure 17 shows results from 2006 simulations by Glass, et al., illustrating the impact on reducing case load from a modeled influenza pandemic (but the results are relevant to any viral pandemic) via the imposition of targeted social distancing on children and teenagers. The results demonstrate that social distancing can be very effective if it is imposed shortly after first cases are detected and the compliance level is high.

It is worth quoting from the conclusions of the Glass, et al., simulations:
“Results for our stylized small town suggest that targeted social distancing strategies can be designed to effectively mitigate the local progression of pandemic influenza without the use of vaccine or antiviral drugs. For an infectivity similar to that of the 1957–58 Asian influenza pandemic, targeting children and teenagers, by not only closing schools but also by keeping these age classes at home, was effective. However, given uncertainty in the infectivity of the influenza strain, underlying social contact network, or relative infectivity/susceptibility of the young versus adults, planning to implement strategies that also target adults and the work environment is prudent. To mitigate a strain with infectivity similar to that of the 1918–19 Spanish influenza pandemic, simulations suggest that all young and adults must be targeted regardless of the likely enhanced transmission by the young.
Implementation of social distancing strategies is challenging. They likely must be imposed for the duration of the local epidemic and possibly until a strain-specific vaccine is developed and distributed. If compliance with the strategy is high over this period, an epidemic within a community can be averted. However, if neighboring communities do not also use these interventions, infected neighbors will continue to introduce influenza and prolong the local epidemic, albeit at a depressed level more easily accommodated by healthcare systems.”
The challenge right now for many Republican governors in hard-hit states is that they have been delivering, at best, mixed messages about the importance of social distancing and mask-wearing for months. Their President is telling people still that the crisis is over and that they should disbelieve everything else they’re seeing and reading. Already in a deep hole created by Trump’s lack of leadership, the White House keeps furiously digging. They have engaged recently in attempts to discredit Anthony Fauci, culminating in a disastrous op-ed piece by White House Trade Advisor Peter Navarro, published in USA Today on July 14. Navarro rails against the doctor’s disagreements with the Trade Advisor’s own ill-informed claims: Navarro’s insistence that anecdotal early evidence supporting hydroxychloroquine as an effective COVID-19 treatment was definitive (subsequent research has clearly shown that Navarro, not Fauci, was wrong here); and Navarro’s claim that mortality rate “is the single most important statistic to help guide the pace of our economic reopening,” when mortality rate is clearly a lagging indicator of the virus spread.
In a desperate attempt to reinforce conservative distrust of all experts in the midst of the exploding crisis, Trump retweeted on July 13 the following paranoid missive from one of his followers (Chuck Woolery, a TV game show host, not a medical professional or scientist):
“The most outrageous lies are the ones about Covid 19. Everyone is lying. The CDC, Media, Democrats, our Doctors, not all but most, that we are told to trust. I think it’s all about the election and keeping the economy from coming back, which is about the election. I’m sick of it.”
Trump failed to promote Woolery’s tweet the following day, noting that his own son had just tested positive for the disease he’d said everyone is lying about. And perhaps nothing better epitomizes the current intellectual bankruptcy of the administration than White House Press Secretary Kaleigh McEnany’s claim at her July 16 press briefing, that “science should not stand in the way” of universal and complete school reopenings throughout the U.S. Apparently, parents’ opinions should also not stand in the way; recent polling shows that roughly 70% of U.S. parents sense considerable risk and remain concerned about sending their students back for in-person classes.
In the face of this crazy messaging, why should their citizens now take Republican governors seriously if they choose to impose mandates? How do they ensure high levels of compliance, especially if they only recommend, but do not mandate, social distancing? Perhaps they should take advice offered recently by Edison Liu and Jill Goldthwait, and point out that people who contract the virus are now facing odds of an extended hospital stay, requiring intensive care, approaching the odds of death in a game of Russian Roulette. Conservative “alternative science” notwithstanding.
Although partial measures may provide some mitigation, the resurgence of COVID-19 in the U.S. is already sufficiently dangerous that many states will likely have to impose at least some renewed lockdown protocols in order to avoid overwhelming their hospital resources. In addition, they will likely have to require a quarantine period, as New York, New Jersey and Connecticut have recently done, for any visitor coming from a state that has not yet reduced its positive testing rate well below 5%. The U.S. economy will take another serious hit, but it will not recover until much of the population feels safe from infection, with justification. The cumulative impact on the economy will be worse than if reopenings had actually followed the conditions set forth in the White House guidelines provided by actual medical scientists.
VI. Outlook
The half-century-long American conservative project is stuck in a deep rut. It has trained a significant segment of the U.S. population to distrust, without analyzing, any science that comes from liberal academic institutions or the professionals they produce. This message is reinforced daily by conservative media and by numerous politicians. This distrust may in the past have served the interests of industries seeking to avoid government regulation and of evangelical Christians seeking to naysay evolution, geology and cosmology. It may also have killed many Americans slowly by exposing them to unregulated toxic products. But now it is threatening to kill many rapidly by disregarding scientific advice about how to control a pandemic in the absence of a vaccine or effective antiviral drug. A number of conservative doubters who contracted COVID-19 have had to admit on their deathbeds that the pandemic probably wasn’t a hoax after all.
Perhaps it will take the widespread loss of loved ones to COVID-19 to make some survivors in the conservative base begin to question the party line they have been fed for decades. But it is at least as likely that conservative media will be there to keep them in the fold, to convince them that all those deaths really are the fault of the liberal elites and the mainstream media. To tell them that it really all was a conspiracy concocted by Bill Gates with Chinese help, so that he could develop a vaccine that would implant microchips to track the whereabouts of all Americans, even those whose cell phones already accomplish that feat.
The future of our planet is at stake. Organized conservative denial of the very clear evidence that our globe is warming rapidly, compared to historical time scales, as a result of human burning of fossil fuels is delaying implementation of policies that could mitigate the most severe impacts on the environment, the seas, coastal communities, agriculture and animal species. Just as with the COVID-19 pandemic, delayed implementation leads inevitably to the later need for policies that will produce more severe short-term economic impacts. Wishful thinking has no impact on nature or viruses. Science denial is, in the end, a self-defeating substitute for real science. Deciding whom to trust has become a life-or-death choice, and not just for each individual doing the deciding.
References:
https://ourworldindata.org/coronavirus-data
M. Grossman and D.A. Hopkins, Asymmetric Politics: Ideological Republicans and Group Interest Democrats (Oxford University Press, 2016), https://www.oxfordscholarship.com/view/10.1093/acprof:oso/9780190626594.001.0001/acprof-9780190626594
General Social Survey, National Opinion Research Center at the University of Chicago, https://www.norc.org/Research/Projects/Pages/general-social-survey.aspx
C. Funk, M. Hefferon, B. Kennedy and C. Johnson, Trust and Mistrust in Americans’ Views of Scientific Experts, Pew Research Center, 2019, https://www.pewresearch.org/science/2019/08/02/trust-and-mistrust-in-americans-views-of-scientific-experts/
G. Gauchat, Politicization of Science in the Public Sphere: A Study of Public Trust in the United States, 1974 to 2010, American Sociological Review 77, 167 (2012), https://journals.sagepub.com/doi/10.1177/0003122412438225
M. Mann and C. Schleifer, Love the Science, Hate the Scientists: Conservative Identity Protects Belief in Science and Undermines Trust in Scientists, Social Forces, soz156 (2019), https://doi.org/10.1093/sf/soz156
M. Sanger-Katz, On Coronavirus, Americans Still Trust the Experts, New York Times, June 27, 2020, https://www.nytimes.com/2020/06/27/upshot/coronavirus-americans-trust-experts.html
https://en.wikipedia.org/wiki/FCC_fairness_doctrine
J. Calmes, “They Don’t Give a Damn About Governing”: Conservative Media’s Influence on the Republican Party, https://shorensteincenter.org/conservative-media-influence-on-republican-party-jackie-calmes/
https://en.wikipedia.org/wiki/Rupert_Murdoch
https://en.wikipedia.org/wiki/Roger_Ailes
M. Levendusky, How Partisan Media Polarize America (University of Chicago Press, 2013), https://press.uchicago.edu/ucp/books/book/chicago/H/bo16468853.html
K.H. Jamieson and J.N. Cappella, Echo Chamber: Rush Limbaugh and the Conservative Media Establishment (Oxford University Press, 2010), https://www.amazon.com/Echo-Chamber-Limbaugh-Conservative-Establishment-dp-0195366824/dp/0195366824/ref=mt_other?_encoding=UTF8&me=&qid=
https://en.wikipedia.org/wiki/Paul_Weyrich
https://en.wikipedia.org/wiki/Edwin_Feulner
https://en.wikipedia.org/wiki/The_Heritage_Foundation
M. Weidenbaum, The Competition of Ideas: The World of the Washington Think Tanks (Transaction Publishers, 2008), https://www.amazon.com/Competition-Ideas-World-Washington-Think-dp-1412808332/dp/1412808332/ref=mt_other?_encoding=UTF8&me=&qid=
https://en.wikipedia.org/wiki/Free_Congress_Research_and_Education_Foundation
https://en.wikipedia.org/wiki/Cato_Institute
https://en.wikipedia.org/wiki/American_Enterprise_Institute
https://en.wikipedia.org/wiki/Manhattan_Institute_for_Policy_Research
https://en.wikipedia.org/wiki/National_Center_for_Public_Policy_Research
https://en.wikipedia.org/wiki/Hoover_Institution
https://en.wikipedia.org/wiki/Institute_for_Humane_Studies
https://en.wikipedia.org/wiki/Bradley_Foundation
https://en.wikipedia.org/wiki/John_M._Olin_Foundation
https://en.wikipedia.org/wiki/Smith_Richardson_Foundation
https://en.wikipedia.org/wiki/Scaife_Foundations
https://en.wikipedia.org/wiki/Koch_family_foundations
https://en.wikipedia.org/wiki/Mercer_Family_Foundation
https://en.wikipedia.org/wiki/Tea_Party_movement
https://en.wikipedia.org/wiki/Center_for_Individual_Freedom
https://en.wikipedia.org/wiki/FreedomWorks
https://en.wikipedia.org/wiki/Americans_for_Prosperity
https://en.wikipedia.org/wiki/Liberty_University
https://en.wikipedia.org/wiki/Bob_Jones_University
https://en.wikipedia.org/wiki/Hillsdale_College
https://en.wikipedia.org/wiki/American_Legislative_Exchange_Council
https://en.wikipedia.org/wiki/George_C._Marshall_Institute
https://en.wikipedia.org/wiki/Competitive_Enterprise_Institute
https://en.wikipedia.org/wiki/Heartland_Institute
https://en.wikipedia.org/wiki/Advancement_of_Sound_Science_Center
https://en.wikipedia.org/wiki/Center_for_Organizational_Research_and_Education
https://en.wikipedia.org/wiki/Center_for_Regulatory_Effectiveness
https://en.wikipedia.org/wiki/CO2_Coalition
http://www.creationwiki.org/Creation_Research_Society
https://www.icr.org/who-we-are
https://en.wikipedia.org/wiki/Foundation_for_Thought_and_Ethics
https://www.discovery.org/about/
https://debunkingdenial.com/will-happer-climate-change-denier/
J. Husser, Why Trump is Reliant on White Evangelicals, https://www.brookings.edu/blog/fixgov/2020/04/06/why-trump-is-reliant-on-white-evangelicals/
R. Reagan, Remarks to the American Enterprise Institute for Public Policy Research, Dec. 7, 1988, https://www.presidency.ucsb.edu/documents/remarks-the-american-enterprise-institute-for-public-policy-research
P.J. Jacques, R.E. Dunlap, and M. Freeman, The Organization of Denial: Conservative Think Tanks and Environmental Scepticism, Environmental Politics 17, 349 (2008), https://www.tandfonline.com/doi/full/10.1080/09644010802055576
https://debunkingdenial.com/young-earth-creationism-part-iii/
https://debunkingdenial.com/evolution-part-iv-irreducible-complexity-reduced/
https://debunkingdenial.com/ten-false-narratives-of-climate-change-deniers-part-i/
https://debunkingdenial.com/ten-false-narratives-of-climate-change-deniers-part-ii/
https://debunkingdenial.com/part-ii-case-studies-in-toxic-product-defense/
https://debunkingdenial.com/science-denial-and-the-coronavirus/
https://debunkingdenial.com/dr-judy-mikovits-conspiracy-theorist/
https://en.wikipedia.org/wiki/Julian_Sanchez_(writer)
J. Sanchez, Frum, Cocktail Parties, and the Threat of Doubt, http://www.juliansanchez.com/2010/03/26/frum-cocktail-parties-and-the-threat-of-doubt/
A.K. Raymond, Trump’s Latest Coronavirus Strategy: Hope Americans Learn to ‘Live With’ It, New York Magazine, July 6, 2020, https://nymag.com/intelligencer/2020/07/trumps-coronavirus-plan-americans-learn-to-live-with-it.html
https://www.healthline.com/health-news/why-covid-19-isnt-the-flu
S. Miceli, Exploring the Science of Social Distancing and What It Means for Everyday Life, https://www.nationalacademies.org/news/2020/03/exploring-the-science-of-social-distancing-and-what-it-means-for-everyday-life
R.J. Glass, L.M. Glass, W.E. Beyeler, and H.J. Min, Targeted Social Distancing Design for Pandemic Influenza, Emerging Infectious Diseases 12, 1671 (2006), https://www.ncbi.nlm.nih.gov/pmc/articles/PMC3372334/pdf/06-0255.pdf
Trump’s Early Coronavirus Ban on Travelers from China was Full of Holes, Los Angeles Times, July 4, 2020, https://www.latimes.com/world-nation/story/2020-07-04/trumps-strong-wall-to-block-covid-19-from-china-had-holes
https://newsnetwork.mayoclinic.org/discussion/herd-immunity-and-covid-19-what-you-need-to-know/
J. Bhatt and P.D. Parikh, Is COVID-19 Even Subject to Herd Immunity?, ABC News, July 7, 2020, https://abcnews.go.com/US/vaccine-reach-herd-immunity-scientists/story?id=71662733
A. Soergel, States Competing in ‘Global Jungle’ for PPE, U.S. News, April 7, 2020, https://www.usnews.com/news/best-states/articles/2020-04-07/states-compete-in-global-jungle-for-personal-protective-equipment-amid-coronavirus
Opening Up America Again, https://www.whitehouse.gov/openingamerica/
Coronavirus: Armed Protesters Enter Michigan Statehouse, BBC News, May 1, 2020, https://www.bbc.com/news/world-us-canada-52496514
S. Clement and D. Balz, Despite Widespread Economic Toll, Most Americans Still Favor Controlling Outbreak Over Restarting Economy, Post-ABC Poll Finds, Washington Post, June 1, 2020, https://www.washingtonpost.com/politics/despite-widespread-economic-toll-most-americans-still-favor-controlling-outbreak-over-restarting-economy-post-abc-poll-finds/2020/06/01/3e052ec0-a27b-11ea-81bb-c2f70f01034b_story.html
P. Baker, E.L. Green, Trump Threatens to Cut Funding if Schools Do Not Fully Reopen, New York Times, July 8, 2020, https://www.nytimes.com/2020/07/08/us/politics/trump-schools-reopening.html
H. Branswell, Trump Administration Submits Formal Notice of Withdrawal from WHO, STAT News, July 7, 2020, https://www.statnews.com/2020/07/07/trump-administration-submits-formal-notice-of-withdrawal-from-who/
E. Relman, Mike Pence predicted the pandemic would be ‘behind us’ by Memorial Day. Instead, hospitalizations are rising as deaths near 100,000, Business Insider, May 26, 2020, https://www.businessinsider.com/mike-pence-predicted-the-pandemic-would-be-behind-us-by-memorial-day-2020-5
California’s Slide from Coronavirus Success to Danger Zone Began Memorial Day, Los Angeles Times, June 29, 2020, https://www.latimes.com/california/story/2020-06-29/california-coronavirus-hot-spot-memorial-day
M. Dorning and G. Korte, Trump’s Support is Withering in Areas Where Virus Cases are Rising, Bloomberg News, July 6, 2020, https://www.bloomberg.com/news/articles/2020-07-06/trump-support-withering-in-areas-where-virus-cases-are-rising
M. Astor and N. Weiland, Coronavirus Surge in Tulsa ‘More Than Likely’ Linked to Trump Rally, New York Times, July 8, 2020, https://www.nytimes.com/2020/07/08/us/politics/coronavirus-tulsa-trump-rally.html
https://www.cnn.com/2020/07/15/politics/kevin-stitt-oklahoma-governor-coronavirus/index.html
https://blog.covidactnow.org/modeling-metrics-critical-to-reopen-safely/
https://carlsonschool.umn.edu/mili-misrc-covid19-tracking-project
J. Goodman and F. Carmichael, Coronavirus: ‘Deadly Masks’ Claims Debunked, BBC News, June 20, 2020, https://www.bbc.com/news/53108405
T. Porter, Tucker Carlson said mask-wearing has ‘no basis of any kind in science,’ reversing an earlier position that they are obviously effective, Business Insider, July 8, 2020, https://www.businessinsider.com/tucker-carlson-no-basis-in-science-for-masks-contradicts-old-stance-2020-7
P. Navarro, Anthony Fauci Has Been Wrong About Everything I Have Interacted With Him On, USAToday, July 14,2020, https://www.usatoday.com/story/opinion/todaysdebate/2020/07/14/anthony-fauci-wrong-with-me-peter-navarro-editorials-debates/5439374002/
E. Nolan, Trump Retweets Chuck Woolery Saying ‘Everyone is Lying’ About Coronavirus, Newsweek, July 13, 2020, https://www.newsweek.com/trump-retweets-chuck-woolery-coronavirus-cdc-lies-schools-1517330
E. Liu and J. Goldthwait, What is Social Distancing and Why is it Needed?, https://www.jax.org/news-and-insights/2020/march/social-distance-ed-liu
J.D. Goodman, N.Y. Will Impose Quarantine on Visitors From States With Big Outbreaks, New York Times, June 24, 2020, https://www.nytimes.com/2020/06/24/nyregion/ny-coronavirus-states-quarantine.html
T. Balk, Patient, 30, Said ‘I Thought This Was a Hoax’ Before Dying After ‘COVID Party:’ Texas Doctor, New York Daily News, July 11, 2020, https://www.nydailynews.com/news/national/ny-coronavirus-hoax-death-san-antonio-20200711-hruqlpcolfhv7iyzmpsnjkmoz4-story.html

